技术文章
Technical articles
更新时间:2023-08-29
点击次数:1440
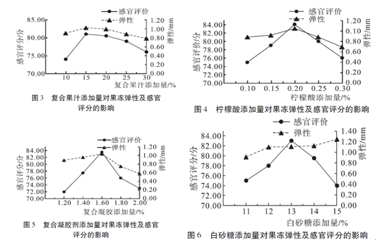
近日,成都师范学院研究人员在国内期刊《四川旅游学院学报》发表了题为“野生刺梨甜橙果冻的制备工艺优化"的研究论文。在该论文中,研究人员使用上海腾拔Rapid TA研究型质构仪测定了果冻的弹性等指标。
1、野生刺梨甜橙果冻弹性的测定
Rapid TA型质构仪采用全质构TPA模式测试,对果冻进行弹性的测定,探头型号P/0.5,测试速度为1.00mm/s,触发点负载10.00g,压缩形变量为50.00%,每个样品测试3次,取平均值。
2、测定结果

原文全文下载链接